beat365

beat365“真诚为友,道德为师”诚信教育月系列活动(三) ——诚信格言书法比赛

发布时间: 2016-06-07点击:

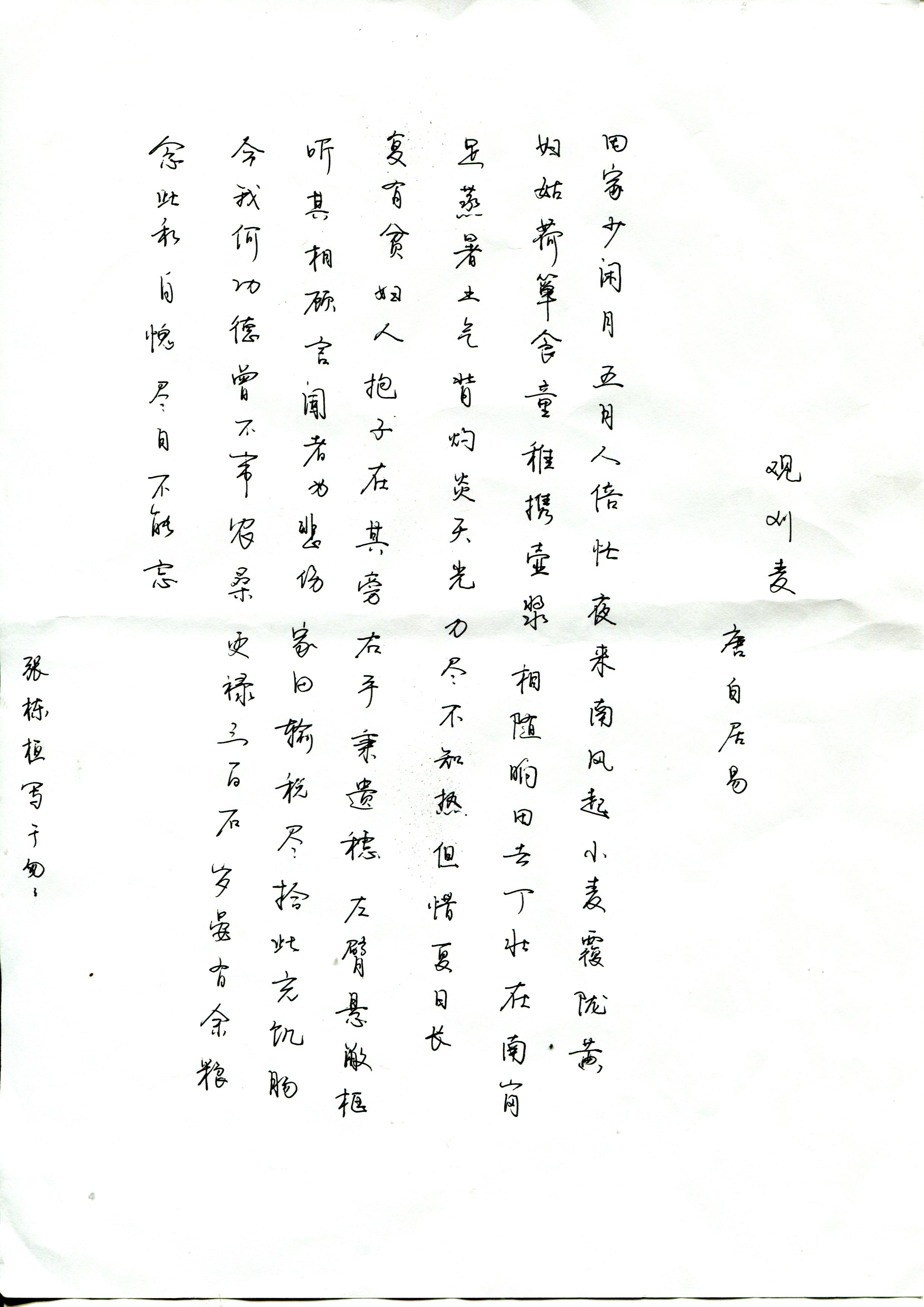
   林大学beat365诚信格言书法比赛于5月3日-5月15日成功举办。本次书法比赛要求以“诚信”为主题,结合beat365“天下为公 ,志在大同”的院训,书写对员工能够起到启迪、教育作用的格言。旨在使同学们受到诚信文化熏染,进一步增强公司员工的诚信意识。

   寝室为单位进行的诚信格言书法(硬笔)比赛,邀请了学院本科生辅导员曲畅竹和员工会各部门成员作为评委对比赛作品进行评比,最终由2015级员工郁心遥获得一等奖。在此次比赛中,各参赛同学的书法风格各不相同,书写内容丰富,表现出了同学们对此次活动的热情。比赛结束后,公司员工会维权部将比赛成果全院范围内进行展示,并根据评比结果颁发奖品。

   通过这次诚信格言(硬笔)比赛,使同学们接受了中华传统诚信文化的熏陶,帮助同学们树立了正确的人生观、价值观。同时,本次活动还号召员工们自我教育、自我完善和自觉加强诚信建设,牢固树立诚信为本、操守为重、守信光荣、失信可耻的信用意识和道德观念,从而促进员工们潜能的发挥,展现新时代优秀老员工的诚信形象。

员工会维权部蔡鸿瑜供稿

2016年6月7日

Copyright© beat·365(中国) - 官方网站 版权所有

通信地址:中国吉林省长春市前进大街2699号beat365(邮编:130012)

办公地点:beat365体育官网前卫校区东荣大厦A座5层、12层

访问计数: